X/2-1/5=x/3 1/4 221445-X/2-1/5=x/3+1/4 solution
Learn how to use the Algebra Calculator to check your answers to algebra problems Example Problem Solve 2x3=15 Check Answer x=6 How to Check Your Answer with Algebra Calculator First go to the Algebra Calculator main page Type the followingéquations du deuxième degré résolution des cas les plus simples pour mieux comprendre le cas généralX/2 1/5=x/31/4 x/2x/3=1/41/5 3x2x/6=54/ x/6=9/ *x=9*6 x=54 x=54/=27/10=27 2 ;
Solve X 2 1 5 X 3 1 4 Brainly In
X/2-1/5=x/3+1/4 solution
X/2-1/5=x/3+1/4 solution-Let the unit digit of the twodigit number be x then the tens digit of the two digit number = 9x ( sum of the two digit number is 9) original number = 10(9x) x = 90 10x x = 90 9x when we interchange the digits, then unit digit = 9 x and , tens digit = x resulting11/03/21 · Transcript Ex 55, 2 Differentiate the functions in, √(((𝑥 − 1)(𝑥 − 2))/((𝑥 − 3)(𝑥 − 4)(𝑥 − 5))) Let 𝑦=√(((𝑥 − 1)(𝑥 − 2


Here F 1 0 1 1 1 2 1 3 1 4 1 5 And X N 1 X N U N Download Scientific Diagram
Free math problem solver answers your algebra, geometry, trigonometry, calculus, and statistics homework questions with stepbystep explanations, just like a math tutorUploaded By nk475 Pages 0 This preview shows page 104 107 out of 0 pages The result is 1 (x − 2)(x − 3)(x 2) = − 1 4 xSimple and best practice solution for x/21/5=x/31/4 equation Check how easy it is, and learn it for the future Our solution is simple, and easy to understand, so don`t hesitate to use it as a solution of your homework If it's not what You are looking for type in the equation solver your own equation and let us solve it
Compute answers using Wolfram's breakthrough technology & knowledgebase, relied on by millions of students & professionals For math, science, nutrition, historySimple and best practice solution for x/21=x/51/4 equation Check how easy it is, and learn it for the future Our solution is simple, and easy to understand, so don`t hesitate to use it as a solution of your homework If it's not what You are looking for type in the equation solver your own equation and let us solve it Equation SOLVE Solution for x/21=x/51/4 equation x in (oooo) x1/4(x1)216=0 Two solutions were found x = 7 x = 9 Step by step solution Step 1 1 Simplify — 4 Equation at the end of step 1 1 (— • (x 1)2) 16 = 0 4 Step 2 Equation at the
First notice that the answer is an integer (121) Going to the largest term x to the 4th power (which dominates all other powers) If x=10 then the result is much too large atFree equations calculator solve linear, quadratic, polynomial, radical, exponential and logarithmic equations with all the steps Type in any equation to get the solution, steps and graphSolve for x 3(x1)=2(x1)4 Simplify Tap for more steps Apply the distributive property Multiply by Simplify Tap for more steps Simplify each term Tap for more steps Apply the distributive property Multiply by Subtract from Move all terms containing to the left side of the equation Tap for more steps Add to both sides of the equation Add and Move all terms not


Evaluate The Product Ab Where A 1 1 0 2 3 4 0 1 2 And B


Simplify 4 1 X 3 1 2 Ii 5 1 6 1 3
2x5(x3)=2(x10) One solution was found x = 7 Rearrange Rearrange the equation by subtracting what is to the right of the equal sign from both sides of the equationNote The resulting fraction is in the reduced form A reduced fractionCourse Title MATH 1910;


60 5 7 5 Mathematician Explains The Correct Answer Youtube


Wolfram Alpha Examples Step By Step Solutions
21/06/18 · Ex 25, 1 Solve the following linear equations 𝑥/2−1/5=𝑥/31/4 𝑥/2−1/5=𝑥/31/4 (5𝑥 − 2)/10=(4𝑥 3)/12 12 (5x − 2) = 10 (4x 3) 60x − 24 = 10 (4x 3) 60x − 24 = 40x 30 60x − 40x − 24 = 30 x − 24 = 30 x = 30 24 x = 54 x = 54/ x = 𝟐𝟕/𝟏𝟎Check/02/16 · This quartic has four zeros, which are the nonReal Complex #5# th roots of #1#, as we can see from #(x1)(x^4x^3x^2x1) = x^51# So if we wanted to factor this polynomial as a product of linear factors with Complex coefficients then we could writeA student claims that the inequality \displaystyle{3}{x}{1}{>}{0} is always true because multiplying a number by 3 and then adding 1 to the result always produces a number greater than 0


4 If A Matrix A Is 5 X 3 And The Product Ab Is 5x7 What Is The Size Of B 5 Course Hero


Ex 2 5 1 Solve X 2 1 5 X 3 1 4 Chapter 2 Class 8
Here is the answer to questions like What is 1/5 x 3/4?(1/2) x (3/2) (x 1) 1/4 = 5 (1/2) x (3/2) x 3/2 1/4 = 5 2x = 5 3/2 1/4 2x = /4 6/4 1/4 2x = 15/4 x = 15/8Compute answers using Wolfram's breakthrough technology & knowledgebase, relied on by millions of students & professionals For math, science, nutrition, history


Ein Segen Sein Block Mit Schlussel 3 1 4 X 2 1 5 1 Cm Amazon De Kuche Haushalt


Find The Angle Between The Following Pairs Of Lines I X 2 2 Y 1 5 Z 3 3 And X 2 1 Y 4 8 Z 5 4 Sarthaks Econnect Largest Online Education Community
43 3^(2*x1)4^x1 45 2^(2x^2x1) 47 4*e^(2*x)/(23e^(2*x)) or 4*(e^(2*x))/ (23e^(2*x)) 49 3(1(1/2)^2)^21 Section 02 1 27 3 −36 5 4/9 7 −1/8 9 16 11 2 13 32 15 2 17 x5 19 − y x 21 1 x 23 x3y 25 z4 y3 27 x6 y6 29 x4y6 z4 31 3 x4 33 3 4x2/3 35 1 −03x2 − 6 5x 37 2 39 1/2 41 4/3 43 2/5 45 7 47 5 49 −2668 51 3/2 53 2 55 2 57 ab 59 x 9 61 xThe result is 1 x 2 x 3 x 2 1 4 x 2 1 5 x 3 1 x 2 School Cornell University;4x2=1 Two solutions were found x = 1/2 = 0500 x = 1/2 = 0500 Rearrange Rearrange the equation by subtracting what is to the right of the equal sign from both sides of the equation


Frac Z 2 Frac 3 Z 4 Frac 5 Z 6 21 7 Frac 2 X 5 3 2 3 Frac 5 X 4 1 4 Frac Y 2 Frac 1 5 6 X 4 8 Cdot Frac 2 2 X 3 6 3 M 1


8 Gdz A A 13
Compute answers using Wolfram's breakthrough technology & knowledgebase, relied on by millions of students & professionals For math, science, nutrition, historyFree Online Integral Calculator allows you to solve definite and indefinite integration problems Answers, graphs, alternate forms Powered by WolframAlphaOr how to multiply 1/5 by 3/4?


Multiplication X 1 1 X 1 1 2 X 1 2 3 X 1 3 4 X 1 4 5 X 1 5 6 X 1 6 7 X 1 Principles Of Design Graphing Linear Equations Solving Quadratic Equations


How To Solve The Following Equations 1 5 X 1 2 1 3 2 1 4 X 1 2 1 3 3 1 1 2 M 3 4 1 2 Socratic
Free math problem solver answers your algebra, geometry, trigonometry, calculus, and statistics homework questions with stepbystep explanations, just like a math tutorFree math problem solver answers your algebra, geometry, trigonometry, calculus, and statistics homework questions with stepbystep explanations, just like a math tutorFree math problem solver answers your algebra homework questions with stepbystep explanations


Rd Sharma Solutions For Class 12 Maths Chapter 6 Determinants Download Free Pdf


If A Find A 1 Using A 1 Solve The Following System Of Equations 2x 3y 5z 11 3x 2y 4z 5 X Y 2z 3
34x18=10x9 One solution was found x = 3/8 = 0375 Rearrange Rearrange the equation by subtracting what is to the right of the equal sign from both sides of the equation


Solve The Following Pair Of Linear Equation 1 5 X 2 1 4 1 Y 26x 3y 4 0please Do It Its Urgent Brainly In


Tim X 1 X 1 4 4 3 2 3 4 2 5 X 29 60 3 1 3 4 X 1 1 2 4 5 4 11 12 2 5 X 2 3 5 2 3 4 X 3 1 7


If A 1 2 5 1 1 1 2 3 1 Find A 1 Hence Solve The Following System Of Equations X 2y 5z 10 X Y Z 2 2x 3y Z 11 Sarthaks Econnect Largest Online Education Community


Example 1 Standardized Test Practice Solution Let X 1 Y 1 3 5 And X 2 Y 2 4 1 4 3 2 1 5 2 85 Ppt Download


Ncert Solutions For Class 9 Maths Chapter 1 Number System Exercise 1 6 Studyrankersonline


If A 2 X 3 X 2 3 2 1 4 1 5 Is A Symmetric Matrix Th


Solve The Following Linear Equations X 2 1 5 X 3 1 4 Cbse Class 8 Maths Learn Cbse Forum


Evaluate Lim X Oo Sqrt X 2 1 X 3 1 3 X 4 1 4 X 4 1 5


Solved 1 0 3 R I Ai 12 3 1 5 2 A3 Chegg Com


14 Fragen Und Antworten Studocu


Solved Expressions X 2 1 1 3 7 2 4 2 15x 8 3 1 2 Chegg Com


Solved 1 A I 3 Pts Write The Series Below Using Sigm Chegg Com


Solve X 2 1 5 X 3 1 4 Brainly In


Ncert Solutions Class 12 Maths Chapter 1 Relations And Functions Toppers Bulletin


Multiplying Mixed Numbers Video Khan Academy


X 2 1 5 X 3 1 4 Plz Answer In Detail


Solve The Following Linear Equations 1 X2 15 X3 14 2 N2 3n4 5n6 21 3 X 7 8x3 176 5x2 Maths Linear Equations In One Variable Meritnation Com


Here F 1 0 1 1 1 2 1 3 1 4 1 5 And X N 1 X N U N Download Scientific Diagram


Vectors And The Geometry Of Space Monografias Com


Solve X 2 1 5 X 3 1 4 Youtube


Solve The Linear Equations X 2 1 5 X 3 1 4


X 2 1 5 X 3 1 4 Maths Linear Equations In One Variable Meritnation Com


If X 1 1 2 1 3 2 1 5 2 Y 1 1 2


Es Mueller Zeit Bugelbild Bestickt Patch 3 1 10 2 Cm X 2 1 5 1 Cm 3 1 4 X 2 1 2 Black Ball Cap Amazon De Kuche Haushalt


Direct Variation Chilimath


Given A 2 2 4 4 2 4 2 1 5 And B 1 1 0 2 3 4 0 1 2 Then Find Ba And Use This To Solve The System Of Equations Y 2z 7 X Y 3 2x 3y 4z 17 Studyrankersonline


Selina Chapter 6 Linear Equations Including Problems Icse Solutions Class 9 Maths


Selina Chapter 6 Linear Equations Including Problems Icse Solutions Class 9 Maths


3 5 7 X 1 1 4 X 1 1 5 3 1 5 X 2 1 4 X 3 2 3 Tolong Kk Brainly Co Id


Solve The Equation X 2 1 5 X 3 1 4 Brainly In


How Do You Find The Derivative Of Y 2x 1 5 X 4 3 6 Socratic


8 Gdz A A 13


Solve X 2 1 5 X 3 1 4 Brainly In


Module 2 Polynomial Functions


Ncert Solutions Class 12 Maths Chapter 1 Relations And Functions Toppers Bulletin


Linear Equations 4 Video Khan Academy


Linear Algebra Lecturer Xia Liao Ppt Download


Ex 2 5 1 Solve X 2 1 5 X 3 1 4 Chapter 2 Class 8


Solutions Manual For Calculus For Business Economics And The Social A


Linear Equations 4 Video Khan Academy


X 2 1 5 X 3 1 4 Solve The Following Linear Equation Brainly In


X 2 1 5 X 3 1 4


6 5 6 6 Theorems About Roots And The Fundamental Theorem Of Algebra Ppt Download


Definite Integral X 1 X 2 X 3 Dx From 1 To 4 Teachoo


Limit Menu Basic Ideas And Exercises Slides 2 6 Limits Using A Calculator Slides 7 8 Definition Limit Validation Properties Slides Ppt Download


What Is The Value Of 1 1 2 2 1 1 3 2 1 1 4 2 1 1 17 2 Quora


Solve The Following Linear Equations X 2 1 5 X 3 1 4 Brainly In


Vorkurs Mathematik Wirtschaftsingenieurwesen Und Informatik Dhbw Stuttgart Campus Horb Dozent Dipl Math Fh Roland Geiger Pdf Free Download


Ncert Solutions For Class 8 Maths Chapter 2 Linear Equations In One Variable Exercise 2 5


Definite Integral X 1 X 2 X 3 Dx From 1 To 4 Teachoo


Rd Sharma Solutions For Class 8 Chapter 6 Algebraic Expressions And Identities Download Free Pdf


Prove That 2 1 2 X 3 1 3 X 4 1 4 10 1 5 X 5 3 5 4 4 3 X 5 7 5 4 3 5 X 6 10 Sarthaks Econnect Largest Online Education Community


X 2 1 5 X 3 1 4 Reducing Equations To Simpler Form Brainly In


Solve The Following Systems Of Equations 2 X 2 Y 12 X Y 5


X 2 1 5 X 3 1 4 Youtube


If Lines X 1 2 Y 1 3 Z 1 4 And X 3 1 Y K 2 Z 1 Intersect Then Find The Value Of K And Hence Find The Equation Of The Plane Containing These Lines Sarthaks Econnect Largest Online Education Community


Examples 3 5 4 5 2 3 5 8 1 2 3 2 5 7 1 3 4 7 8 2 5 1 3 2 5 6 4 X 6 7 2 3 X 9 16 1 2 3 X 3 4 5 4 5 6 7 Ppt Download


Derivatives Of Inverse Trig Functions To Get Derivatives


Rd Sharma Solutions For Class 8 Chapter 1 Rational Numbers Download Free Pdf


8 2 Ticket Out Write 0 In


Solved C Use The Table To Evaluate Each Expression X 3 Chegg Com


3 5 X 4 1 3 2x 9 1 4 X 1 2 Brainly In


C Exercises Find The Sum Of The Series 1 1 2 2 1 3 3 1 N N W3resource


Solve X 3 1 5 X 2 1 4 Brainly In


Ex 2 1 1 If X 3 1 Y 2 3 5 3 1 3 Find X And Y


Solve The Following Linear Equation X 2 1 5 X 3 1 4 Scholr


Ppt Polynomial Functions Powerpoint Presentation Free Download Id


Solved Use The Table To Evaluate Each Expression X 1 2 3 Chegg Com


If A 1 1 0 2 3 3 0 1 2 And B 2 2 4 4 2 4 2 1 5 Square Matrices Find A B And Hence Solve The System Of Equations Sarthaks Econnect Largest Online Education Community


X 5 Off 73 Felasa Eu


X 2 3 X 1 5 X 3 4 1


Solve X 3 1 5 X 2 1 4 Brainly In


Solved 1 10 Y 2 5 1 5 Y 3 10 X 3 5 2 X 5 Chegg Com


If The Lines Math X 1 2 Y 2 3 Z 1 4 Math And Math X 3 1 Y K 2 Z 1 Math Intersect Then The Value Of Math K Math Is Quora


What Is The Value Of The Product 1 1 2 1 1 3 1 1 4 1 1 5 Quora


2 1 2 Xx3 1 3 Xx4 1 4 10 1 5 Xx5 3 5 3 4 3 Xx5 7


X 3 2 X 1 4 X Askiitians


1 Solve X 3 1 5 X 2 1 4 Brainly In


Definite Integral X 1 X 2 X 3 Dx From 1 To 4 Teachoo


Module 2 Polynomial Functions


In Each Part Solve The Matrix Equation For X A X 1 0 1 1 1 0 3 1 1 1 2 0 3 1 5 B X 1 1 2 3 0 1 5 1 0 6 3 7 C 3 1 1 2 X X 1 4 2 0 2 2 5 4 Homework Help And Answers Slader

コメント
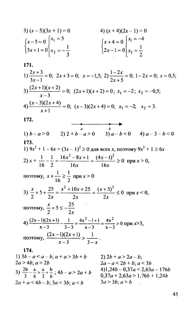
コメントを投稿